Are you struggling with addition and subtraction of radicals in math? Don’t worry, you’re not alone! Many students find this topic challenging, but with a little practice and understanding, you’ll be a pro in no time.
Radicals involve square roots, cube roots, and other root operations. When adding or subtracting radicals, it’s important to simplify them first by finding the like terms. Once you’ve simplified the radicals, you can then combine them using basic arithmetic.

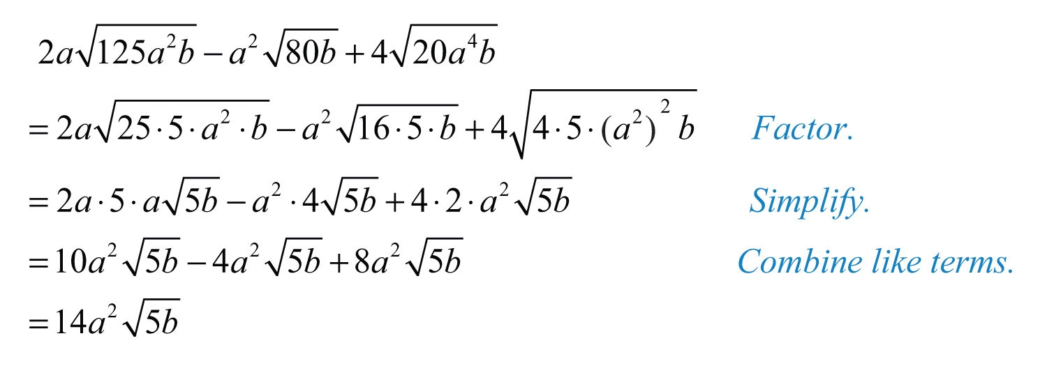
addition and subtraction of radicals
Mastering the Addition and Subtraction of Radicals
To add or subtract radicals, start by simplifying each radical term. Look for like terms with the same root and radicand. Once you’ve identified the like terms, you can combine them by adding or subtracting their coefficients.
Remember to follow the rules of order of operations when working with radicals. Simplify inside the radical first, then combine like terms outside the radical. Be careful with the signs when adding or subtracting radicals to avoid any errors in your calculations.
Practice makes perfect when it comes to addition and subtraction of radicals. Try solving different problems to reinforce your understanding of the concept. Don’t get discouraged if you make mistakes – learning from them is all part of the process.
By mastering addition and subtraction of radicals, you’ll build a strong foundation for more advanced math concepts. Keep practicing, stay patient, and don’t be afraid to seek help if you’re feeling stuck. With determination and perseverance, you’ll conquer radicals in no time!
So, next time you encounter addition and subtraction of radicals in math, approach them with confidence. Remember to simplify, identify like terms, and apply basic arithmetic to combine the radicals. With a little practice and determination, you’ll soon be a pro at handling radicals like a math whiz!

KutaSoftware Algebra 1 Adding And Subtracting Radicals Part 3 YouTube

Operations With Radicals Review And Examples Albert Blog Resources

Adding And Subtracting Radical Expressions Video

Addition And Subtraction Of Radicals Explain In Detailed YouTube

Adding And Subtracting Radicals YouTube