Are you struggling with your math homework? Don’t worry, we’ve got you covered! In this article, we will walk you through Unit Pythagorean Theorem Homework 2 to help you ace your assignment.
Understanding the Pythagorean Theorem is crucial for solving various math problems. Unit Pythagorean Theorem Homework 2 dives deeper into this concept, challenging you to apply it in different scenarios. Let’s break it down step by step.

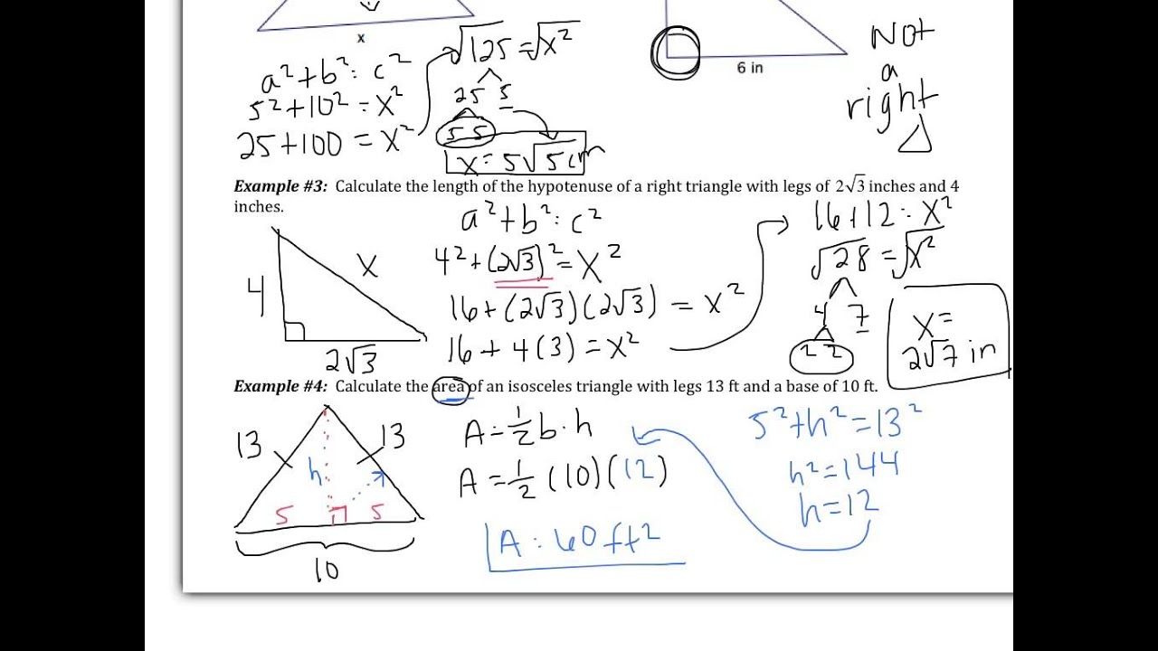
unit pythagorean theorem homework 2
Unit Pythagorean Theorem Homework 2
Firstly, make sure you grasp the formula: a² + b² = c². This formula is used to find the length of the hypotenuse in a right-angled triangle. Remember, ‘a’ and ‘b’ represent the lengths of the other two sides, while ‘c’ represents the hypotenuse.
Next, practice applying the Pythagorean Theorem to solve real-world problems. Unit Pythagorean Theorem Homework 2 may present you with scenarios like finding the distance between two points on a map or calculating the height of a ladder against a wall. These exercises will sharpen your problem-solving skills.
Don’t forget to double-check your calculations and always show your work. Unit Pythagorean Theorem Homework 2 is not just about getting the right answer; it’s also about demonstrating your understanding of the theorem and how you arrived at your solution.
In conclusion, Unit Pythagorean Theorem Homework 2 is a great opportunity to apply your knowledge and enhance your mathematical skills. Embrace the challenge, practice regularly, and don’t hesitate to seek help if you get stuck. With dedication and perseverance, you’ll soon master this concept!

7 1 7 2 Pythagorean Theorem And Its Converse YouTube

Mrs Newell s Math 2016 2017 Right Triangles Unit

Pythagorean Theorem Converse Homework Tutorial Math ShowMe

Practice MTM Pythagorean Theorem Converse HW 2 Erica Melle Library Formative

Unit 9 Lesson 1 Homework The Pythagorean Theorem Josh Agee Library Formative