Are you looking for a fun and engaging way to practice multiplying polynomials by polynomials? Look no further! Our multiplying polynomials by polynomials worksheet is here to help you master this important algebraic skill.
Whether you’re a student studying for a math test or a teacher looking for extra resources for your students, our worksheet is perfect for you. It covers various types of problems to ensure a comprehensive understanding of the topic.

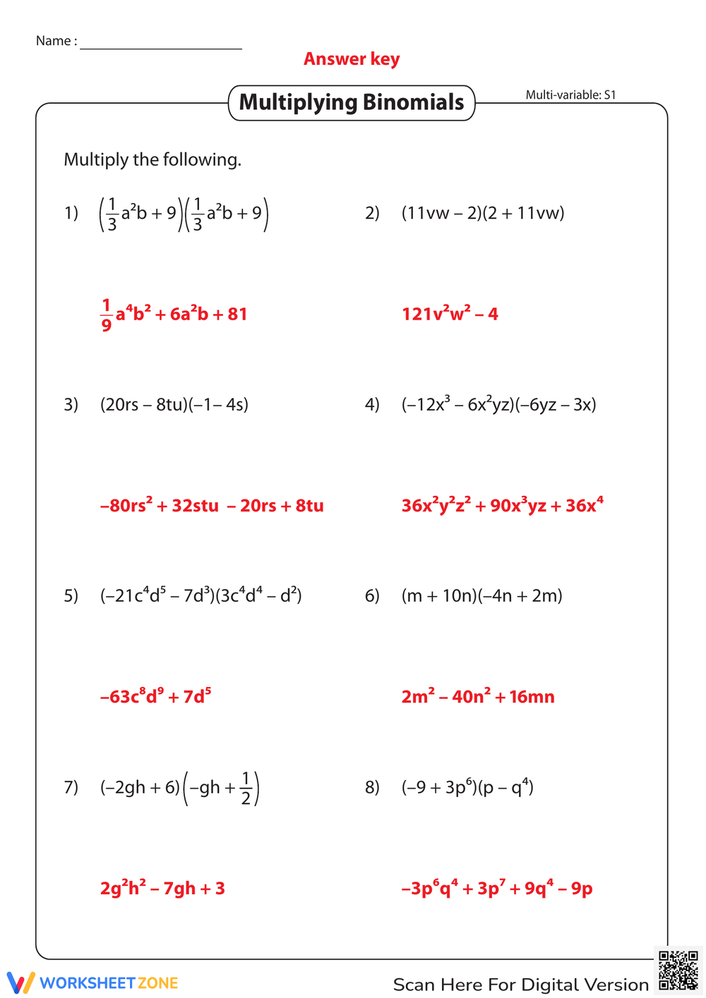
multiplying polynomials by polynomials worksheet
Mastering Multiplying Polynomials by Polynomials Worksheet
With our worksheet, you’ll have the opportunity to practice multiplying binomials, trinomials, and more. Each problem is designed to challenge you and help you build confidence in your polynomial multiplication skills.
By working through the problems on our worksheet, you’ll be able to see how polynomials interact with each other and gain a deeper understanding of how to simplify expressions. This practice will not only improve your math skills but also boost your problem-solving abilities.
Don’t worry if you make mistakes along the way – that’s all part of the learning process! Our worksheet provides step-by-step solutions to help you understand where you went wrong and how to correct your errors. It’s all about learning and growing as a math student.
So why wait? Start multiplying polynomials by polynomials today with our engaging worksheet. Whether you’re a beginner or an advanced math student, there’s something for everyone to learn and enjoy. Get ready to tackle those polynomial problems with confidence!

Edia AI Platform For Student Outcomes

Multiplying Polynomials Worksheet Free Printable

Multiplying And Simplifying Polynomials Worksheet 7th Grade PDF Worksheets

Printable Multiplying Polynomials Worksheets

Multiplying Polynomials Worksheets Printable With Answers Mashup Math